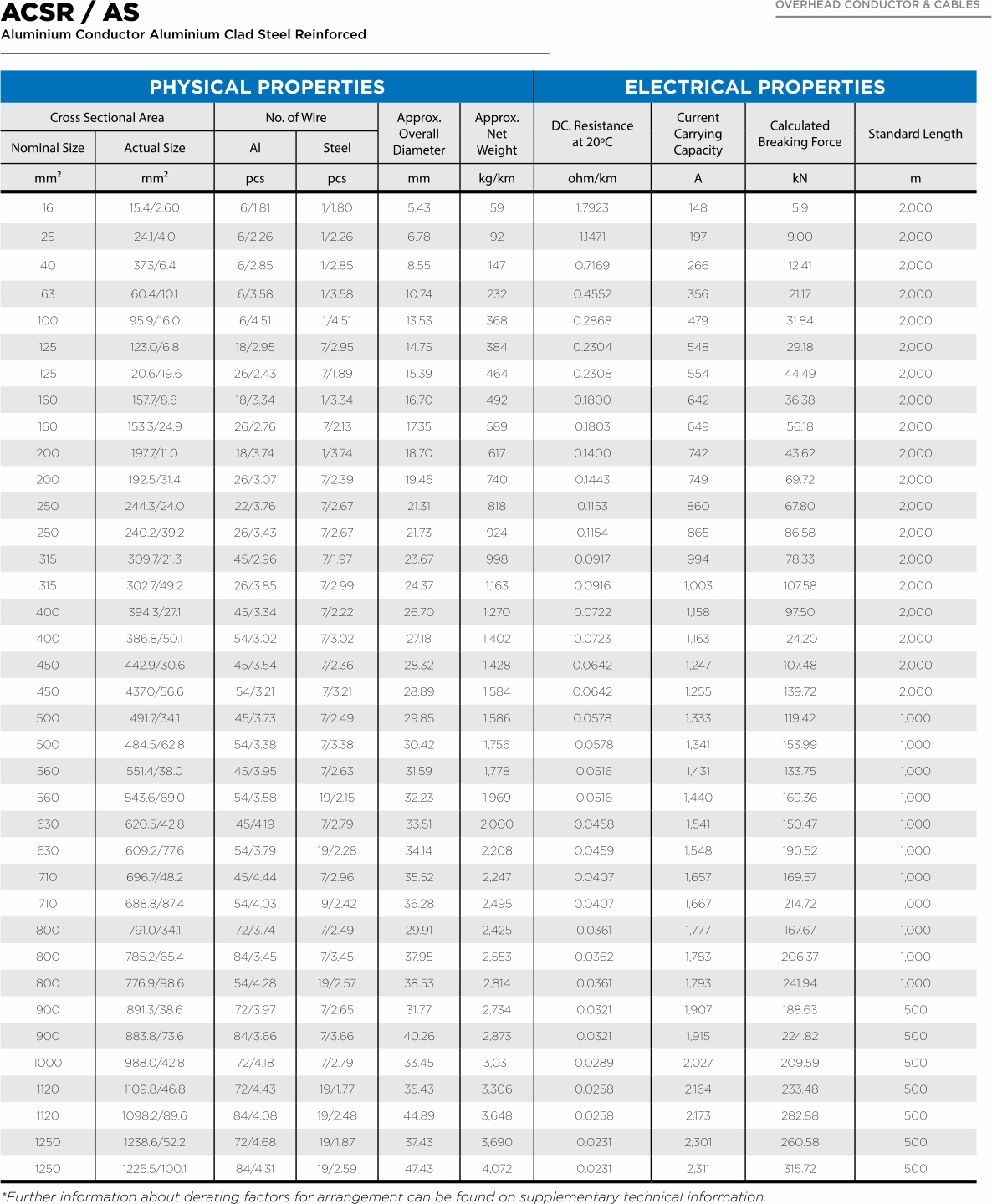
ACSR/AS

Aluminium Conductor Aluminium Clad Steel Reinforced

Application :
Used for overhead distribution and transmission

Specification :
IEC 61089, SPLN T3.001-1 ; 2015
(Other specifications are available upon request)

Construction :

  • Inner Laying : Solid or Stranded Galvanized Steel Wire
  • Outer Laying  : Stranded All Aluminium Conductor (AAC)

Classification :
Bare Conductor